Официальное опубликование правовых актов
ОФИЦИАЛЬНОЕ ОПУБЛИКОВАНИЕ
Постановление Правительства Нижегородской области от 23.06.2023 № 563
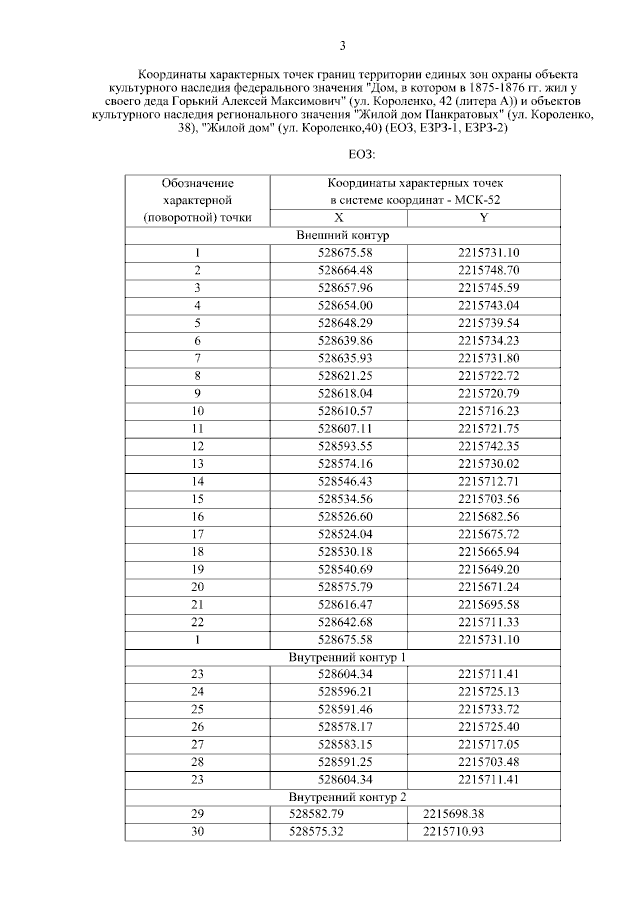
"Об установлении объединенной зоны охраны объекта культурного наследия федерального значения "Дом, в котором в 1875—1876 гг. жил у своего деда Горький Алексей Максимович" (ул. Короленко, 42 (литера А)) и объектов культурного наследия регионального значения "Жилой дом Панкратовых" (ул. Короленко, 38), "Жилой дом" (ул. Короленко,40) в г. Нижнем Новгороде, утверждении требований к градостроительным регламентам в границах территорий данной зоны"
Номер опубликования: 5200202306270002
Дата опубликования: 27.06.2023
Страница №5 из 13:
Увеличить