Официальное опубликование правовых актов
ОФИЦИАЛЬНОЕ ОПУБЛИКОВАНИЕ
Постановление Правительства Нижегородской области от 23.06.2023 № 561
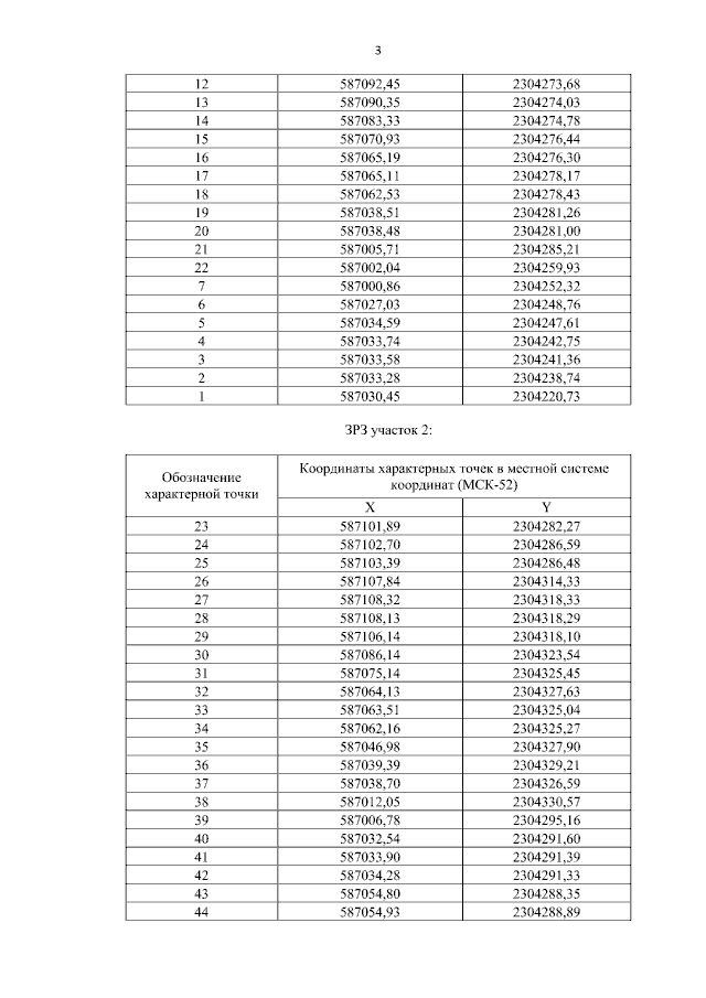
"Об установлении зон охраны объекта культурного наследия регионального значения "Дом, где в 1918—1922 гг. жил и работал писатель В.И. Костылев" (Нижегородская область, Воскресенский район, р.п. Воскресенское, ул. Ленина, 83; адрес на период постановки на государственную охрану: Нижегородская область, Воскресенский район, с. Воскресенское, ул. Ленина, 83) и утверждении требований к градостроительным регламентам в границах территорий данных зон"
Номер опубликования: 5200202306260006
Дата опубликования: 26.06.2023
Страница №5 из 16:
Увеличить