Официальное опубликование правовых актов
ОФИЦИАЛЬНОЕ ОПУБЛИКОВАНИЕ
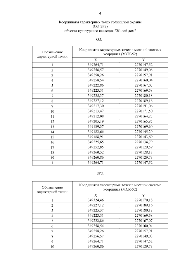
Постановление Правительства Нижегородской области от 23.06.2023 № 556
"Об установлении зон охраны объектов культурного наследия регионального значения, расположенных в с. Починки Нижегородской области, утверждении требований к градостроительным регламентам в границах территорий данных зон"
Номер опубликования: 5200202306260004
Дата опубликования: 26.06.2023
Страница №6 из 24:
Увеличить