Официальное опубликование правовых актов
ОФИЦИАЛЬНОЕ ОПУБЛИКОВАНИЕ
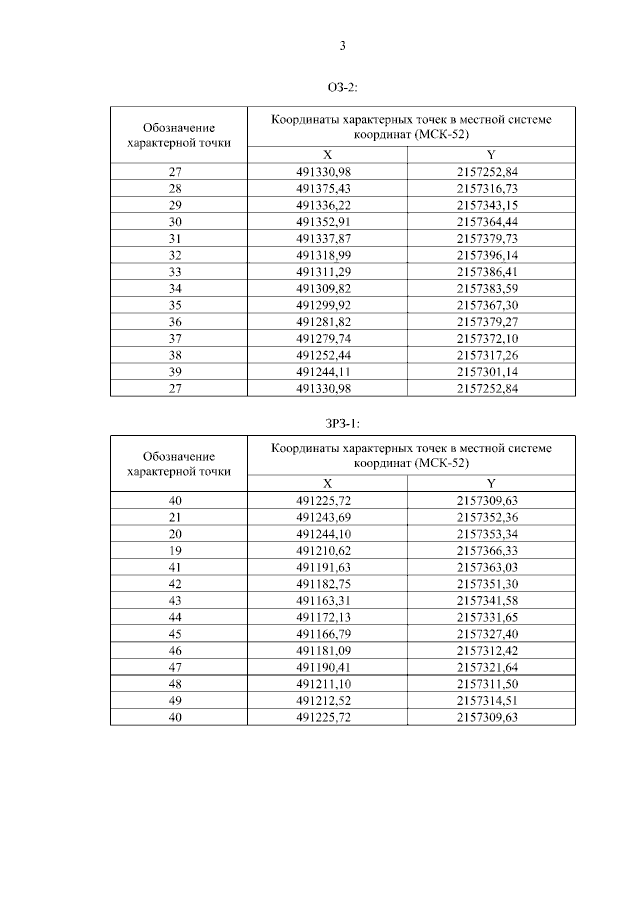
Постановление Правительства Нижегородской области от 15.06.2023 № 524
"Об установлении зон охраны объектов культурного наследия регионального значения, расположенных в г. Павлово, утверждении требований к градостроительным регламентам в границах территорий данных зон"
Номер опубликования: 5200202306160019
Дата опубликования: 16.06.2023
Страница №5 из 124:
Увеличить