Официальное опубликование правовых актов
ОФИЦИАЛЬНОЕ ОПУБЛИКОВАНИЕ
Постановление Правительства Нижегородской области от 15.06.2023 № 509
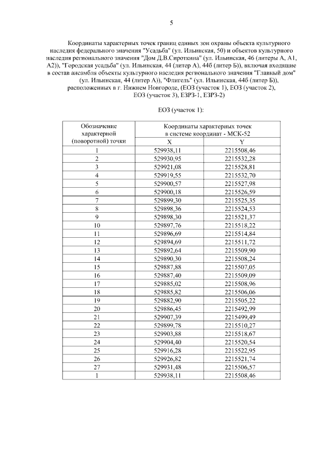
"Об установлении объединенной зоны охраны объекта культурного наследия федерального значения "Усадьба" (ул. Ильинская, 50) и объектов культурного наследия регионального значения "Дом Д.В.Сироткина" (ул. Ильинская, 46 (литеры А, А1, А2))‚ "Городская усадьба" (ул. Ильинская, 44 (литер А), 44б (литер Б)), включая входящие в состав ансамбля объекты культурного наследия регионального значения "Главный дом" (ул. Ильинская, 44 (литер А)), "Флигель" (ул. Ильинская, 44б (литер Б)), расположенные в г. Нижнем Новгороде, утверждении требований к градостроительным регламентам в границах территорий данной зоны"
Номер опубликования: 5200202306160007
Дата опубликования: 16.06.2023
Страница №7 из 16:
Увеличить