Официальное опубликование правовых актов
ОФИЦИАЛЬНОЕ ОПУБЛИКОВАНИЕ
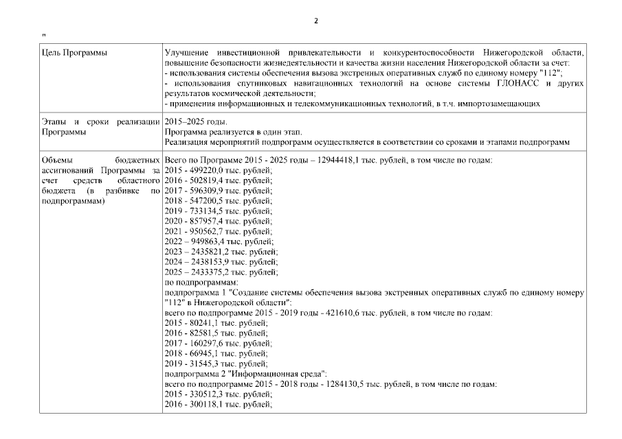
Постановление Правительства Нижегородской области от 08.06.2023 № 501
"О внесении изменений в государственную программу "Информационное общество Нижегородской области", утвержденную постановлением Правительства Нижегородской области от 30 апреля 2014 г. № 300"
Номер опубликования: 5200202306130005
Дата опубликования: 13.06.2023
Страница №3 из 91:
Увеличить