Официальное опубликование правовых актов
ОФИЦИАЛЬНОЕ ОПУБЛИКОВАНИЕ
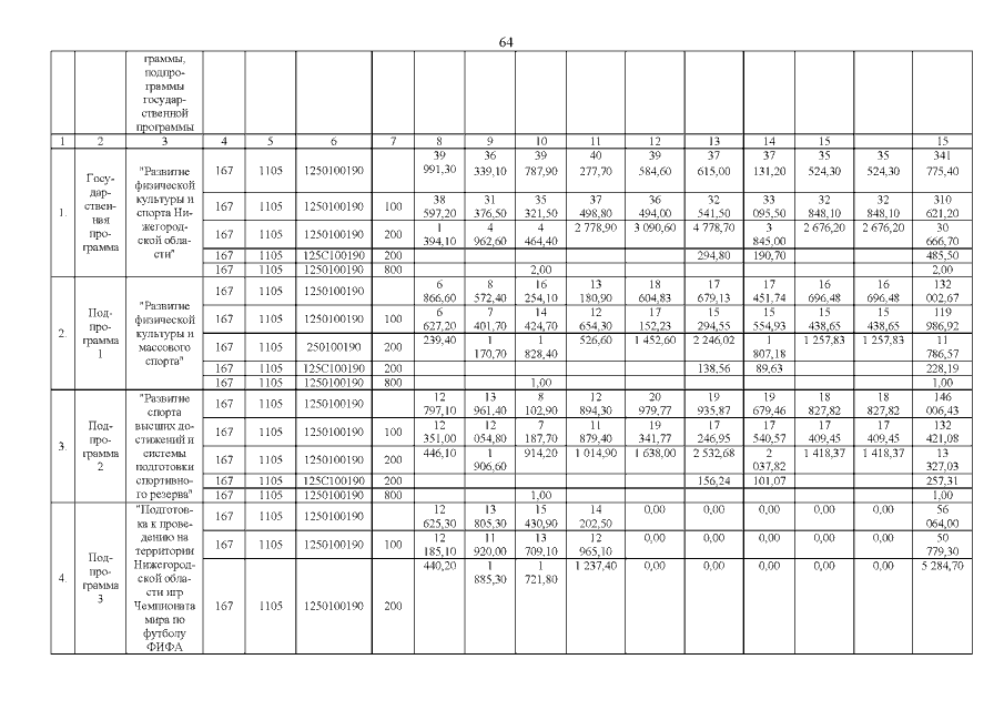
Постановление Правительства Нижегородской области от 12.05.2023 № 405
"О внесении изменений в государственную программу ”Развитие физической культуры и спорта Нижегородской области", утвержденную постановлением Правительства Нижегородской области от 28 апреля 2014 г. № 285"
Номер опубликования: 5200202305170003
Дата опубликования: 17.05.2023
Страница №65 из 67:
Увеличить