Официальное опубликование правовых актов
ОФИЦИАЛЬНОЕ ОПУБЛИКОВАНИЕ
Постановление Правительства Нижегородской области от 12.05.2023 № 401
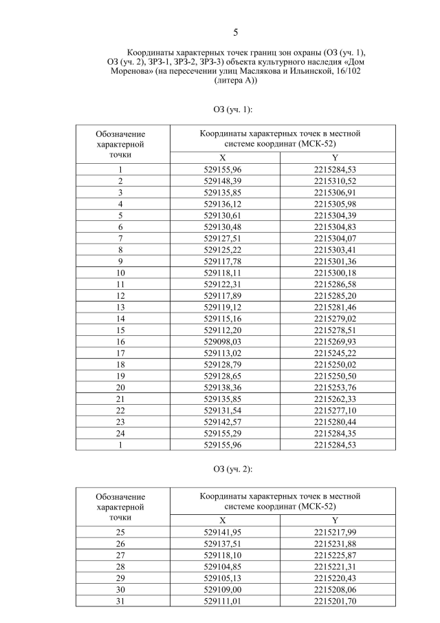
"Об установлении зон охраны объектов культурного наследия регионального значения "Дом Моренова" (на пересечении улиц Маслякова и Ильинской, 16/102 (литера А)), "Дом мещанина Н.М.Черноласкина" (ул. Ильинская, 97), расположенных в г. Нижнем Новгороде, утверждении требований к градостроительным регламентам в границах территорий данных зон и внесении изменений в постановление Правительства Нижегородской области от 14 ноября 2014 г. № 782"
Номер опубликования: 5200202305160007
Дата опубликования: 16.05.2023
Страница №8 из 29:
Увеличить