Официальное опубликование правовых актов
ОФИЦИАЛЬНОЕ ОПУБЛИКОВАНИЕ
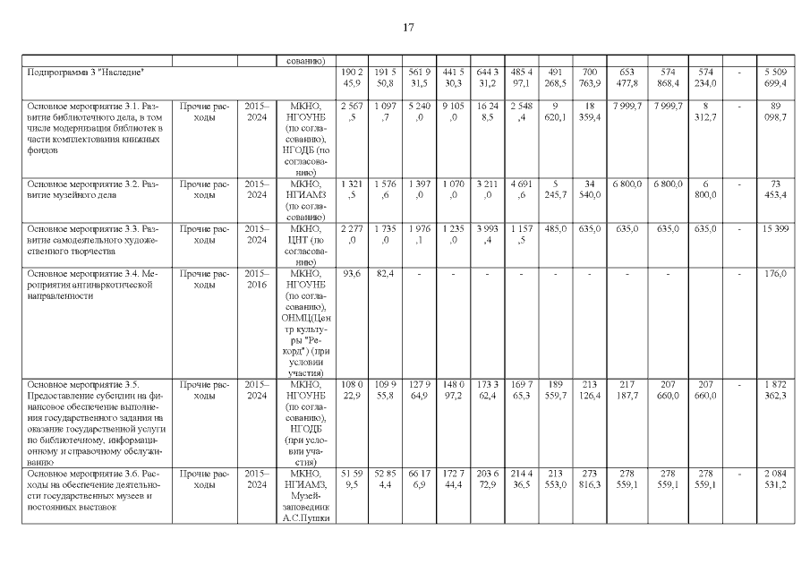
Постановление Правительства Нижегородской области от 28.04.2023 № 364
"О внесении изменений в государственную программу "Развитие культуры и туризма Нижегородской области", утвержденную постановлением Правительства Нижегородской области от 30 апреля 2014 г. № 299"
Номер опубликования: 5200202305050006
Дата опубликования: 05.05.2023
Страница №18 из 85:
Увеличить