Официальное опубликование правовых актов
ОФИЦИАЛЬНОЕ ОПУБЛИКОВАНИЕ
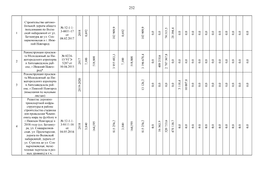
Постановление Правительства Нижегородской области от 14.04.2023 № 314
"О внесении изменений в государственную программу "Развитие транспортной системы Нижегородской области", утвержденную постановлением Правительства Нижегородской области от 30 апреля 2014 г. № 303"
Номер опубликования: 5200202304170004
Дата опубликования: 17.04.2023
Страница №253 из 279:
Увеличить