Официальное опубликование правовых актов
ОФИЦИАЛЬНОЕ ОПУБЛИКОВАНИЕ
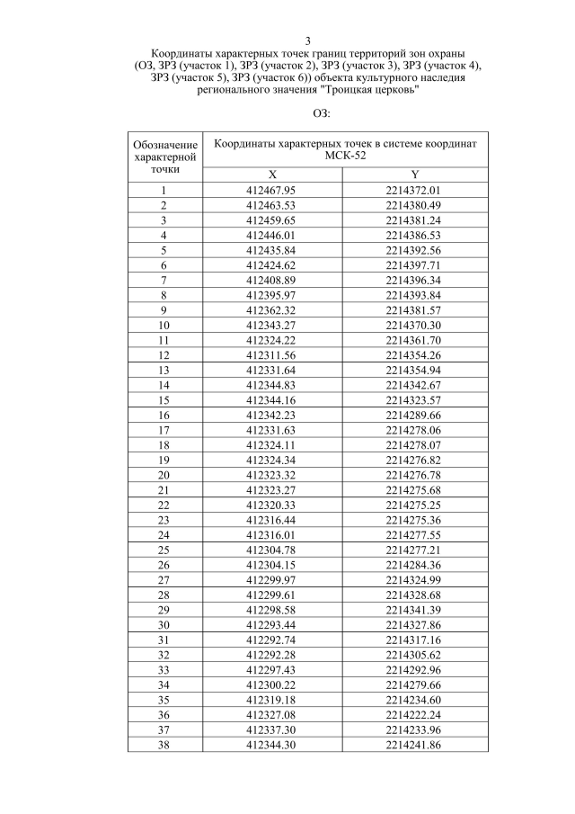
Постановление Правительства Нижегородской области от 07.04.2023 № 292
"Об установлении зон охраны объекта культурного наследия регионального значения "Троицкая церковь"(Нижегородская область, Шатковский район, с. Красный Бор) и утверждении требований к градостроительным регламентам в границах территорий данных зон"
Номер опубликования: 5200202304100003
Дата опубликования: 10.04.2023
Страница №5 из 15:
Увеличить