Официальное опубликование правовых актов
ОФИЦИАЛЬНОЕ ОПУБЛИКОВАНИЕ
Постановление Правительства Нижегородской области от 21.03.2023 № 237
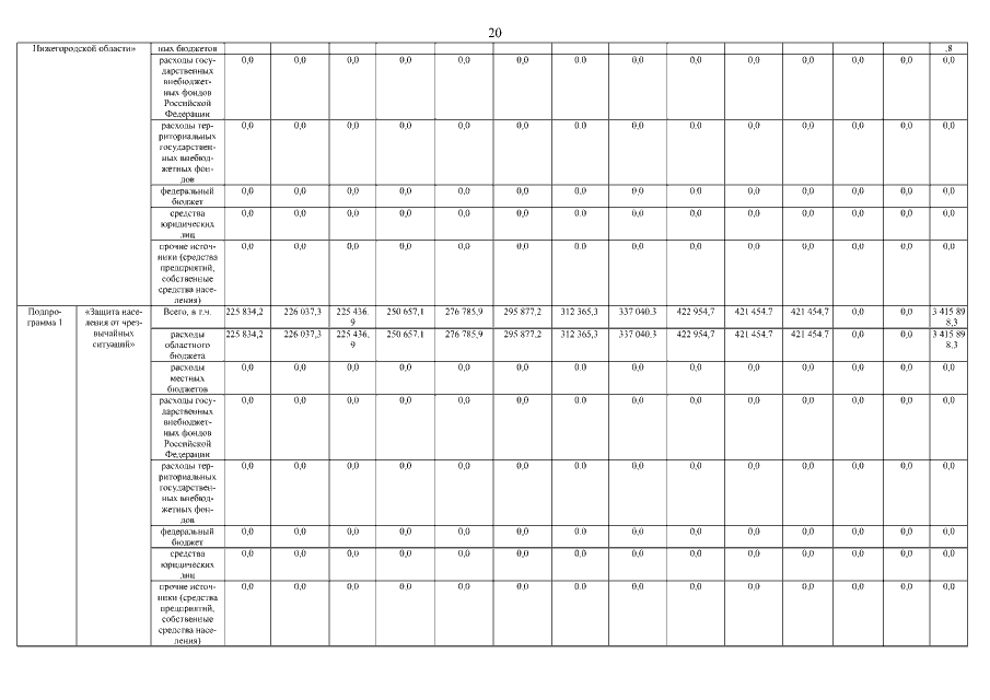
"О внесении изменений в государственную программу "Защита населения и территорий от чрезвычайных ситуаций, обеспечение пожарной безопасности и безопасности людей на водных объектах Нижегородской области", утвержденную постановлением Правительства Нижегородской области от 30 апреля 2014 г. № 304"
Номер опубликования: 5200202303220008
Дата опубликования: 22.03.2023
Страница №21 из 67:
Увеличить