Официальное опубликование правовых актов
ОФИЦИАЛЬНОЕ ОПУБЛИКОВАНИЕ
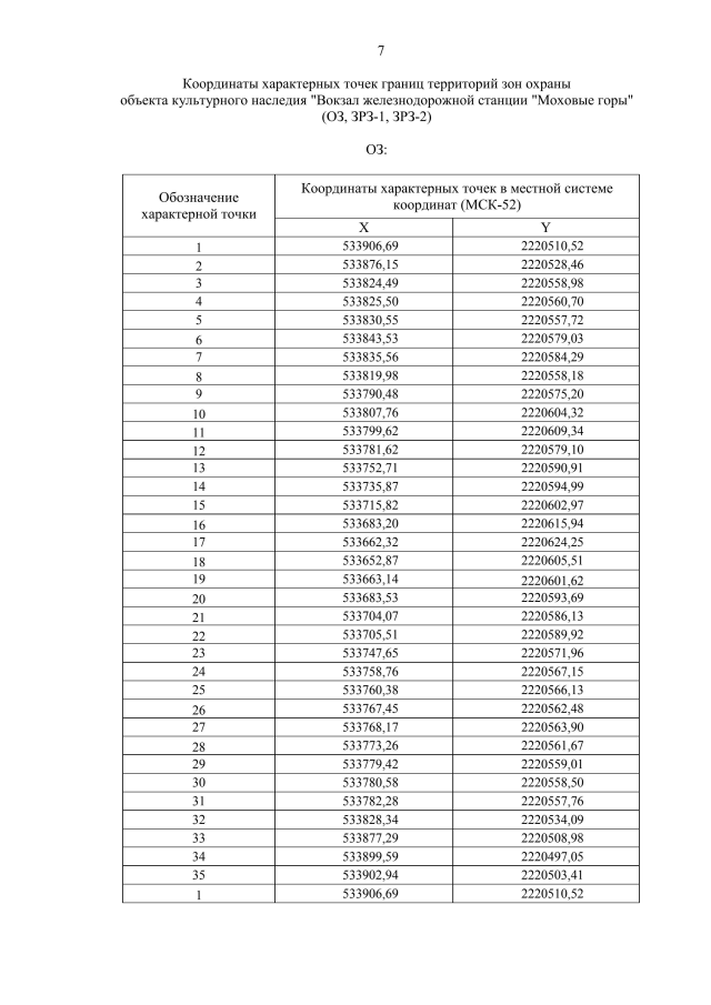
Постановление Правительства Нижегородской области от 07.03.2023 № 191 "Об установлении зон охраны объекта культурного наследия регионального значения "Вокзал железнодорожной станции "Моховые горы" (Нижегородская область, г. Бор, станция Моховые горы) и утверждении требований к градостроительным регламентам в границах территорий данных зон"
Номер опубликования: 5200202303100003
Дата опубликования: 10.03.2023
Страница №9 из 18:
Увеличить