Официальное опубликование правовых актов
ОФИЦИАЛЬНОЕ ОПУБЛИКОВАНИЕ
Постановление Правительства Нижегородской области от 20.02.2023 № 155
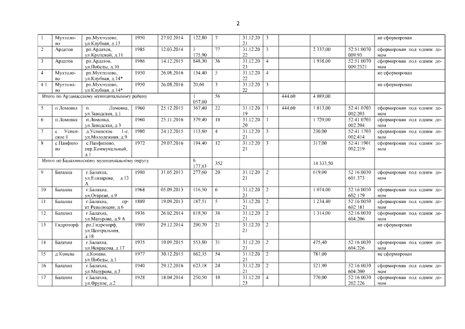
"О внесении изменений в государственную региональную адресную программу "Переселение граждан из аварийного жилищного фонда на территории Нижегородской области на 2019—2023 годы", утвержденную постановлением Правительства Нижегородской области от 29 марта 2019 г. № 168"
Номер опубликования: 5200202302220001
Дата опубликования: 22.02.2023
Страница №14 из 129:
Увеличить