Официальное опубликование правовых актов
ОФИЦИАЛЬНОЕ ОПУБЛИКОВАНИЕ
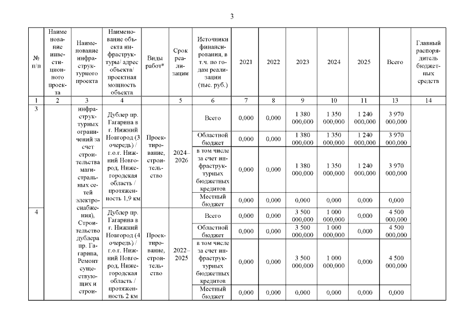
Постановление Правительства Нижегородской области от 17.02.2023 № 154
"О внесении изменения в постановление Правительства Нижегородской области от 29 ноября 2021 г. № 1081"
Номер опубликования: 5200202302210011
Дата опубликования: 21.02.2023
Страница №5 из 16:
Увеличить