Официальное опубликование правовых актов
ОФИЦИАЛЬНОЕ ОПУБЛИКОВАНИЕ
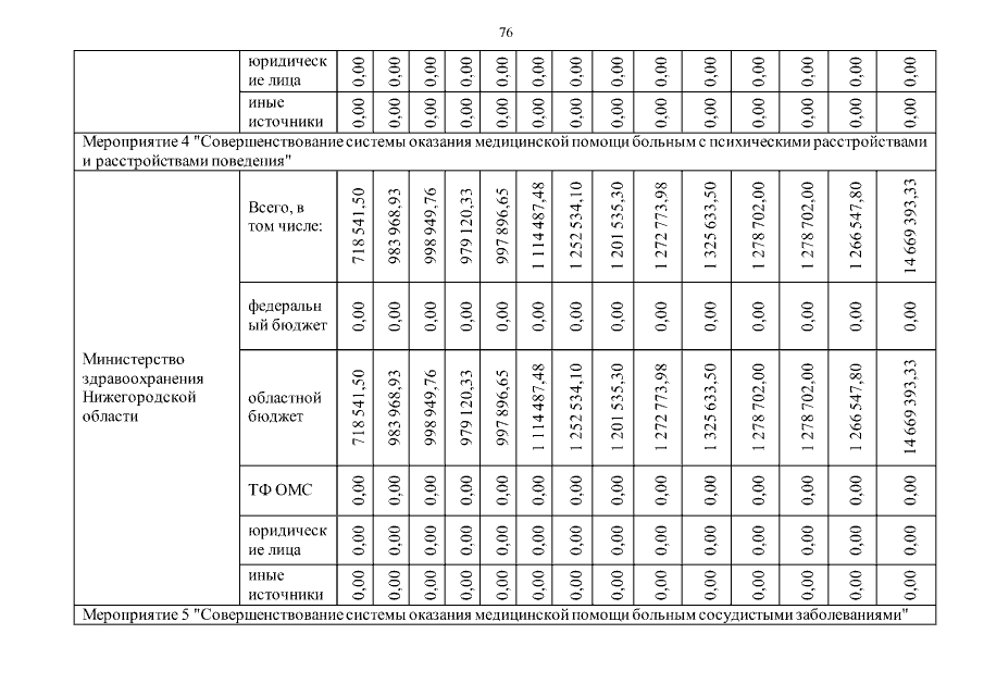
Постановление Правительства Нижегородской области от 15.02.2023 № 141
"О внесении изменений в Государственную программу "Развитие здравоохранения Нижегородской области", утвержденную постановлением Правительства Нижегородской области от 26 апреля 2013 г. № 274"
Номер опубликования: 5200202302160001
Дата опубликования: 16.02.2023
Страница №77 из 248:
Увеличить