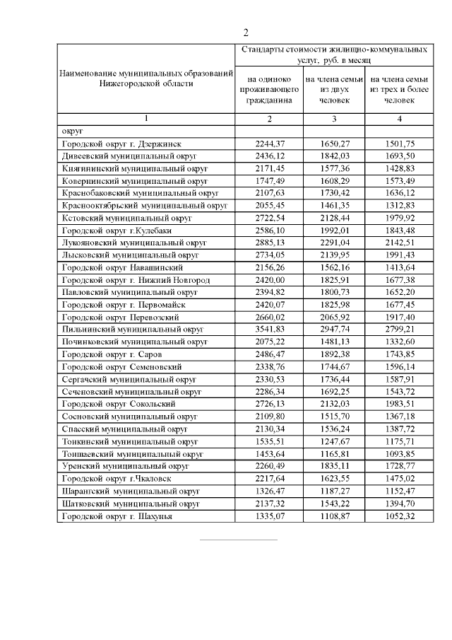
Постановление Правительства Нижегородской области от 06.02.2023 № 108 "Об установлении стандартов стоимости жилищно - коммунальных услуг для расчета субсидий на оплату жилого помещения и коммунальных услуг на 2023 год"
Номер опубликования: 5200202302070018
Дата опубликования:
07.02.2023
