Официальное опубликование правовых актов
ОФИЦИАЛЬНОЕ ОПУБЛИКОВАНИЕ
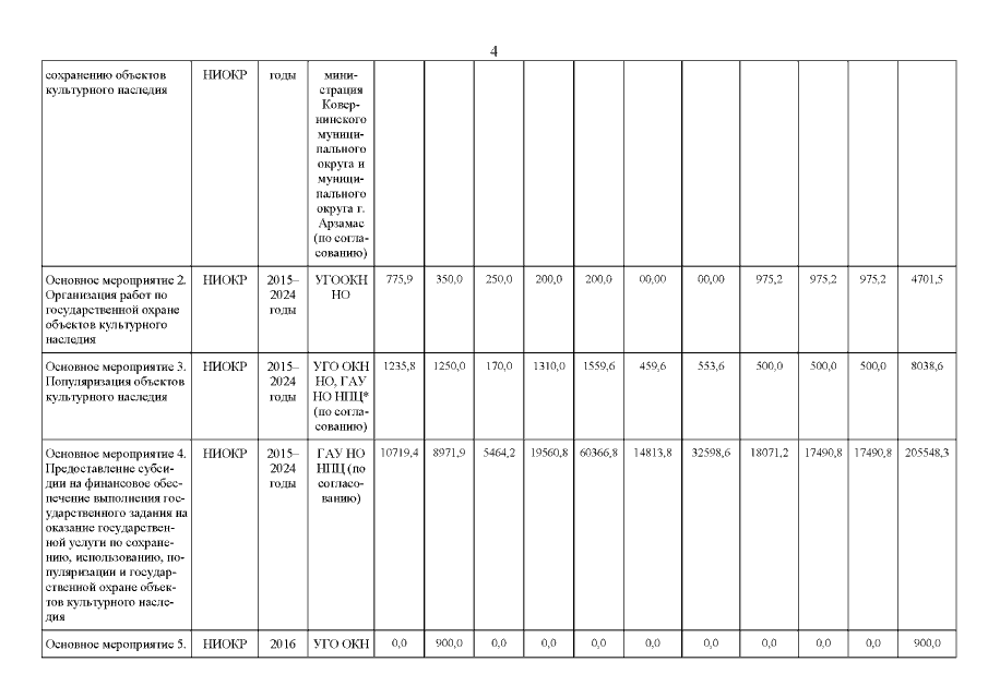
Постановление Правительства Нижегородской области от 24.01.2023 № 46
"О внесении изменений в государственную программу "Сохранение, популяризация и государственная охрана объектов культурного наследия в Нижегородской области", утвержденную постановлением Правительства Нижегородской области от 29 апреля 2014 г. № 289"
Номер опубликования: 5200202301260002
Дата опубликования: 26.01.2023
Страница №5 из 21:
Увеличить