Официальное опубликование правовых актов
ОФИЦИАЛЬНОЕ ОПУБЛИКОВАНИЕ
Постановление Правительства Нижегородской области от 20.01.2023 № 35
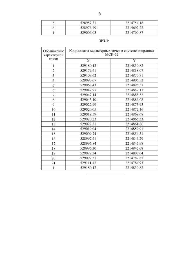
"Об установлении зон охраны объекта культурного наследия регионального значения "Воскресенская церковь" (г. Нижний Новгород, ул. Шевченко, 1а) и утверждении требований к градостроительным регламентам в границах территорий данных зон"
Номер опубликования: 5200202301230005
Дата опубликования: 23.01.2023
Страница №8 из 12:
Увеличить