Официальное опубликование правовых актов
ОФИЦИАЛЬНОЕ ОПУБЛИКОВАНИЕ
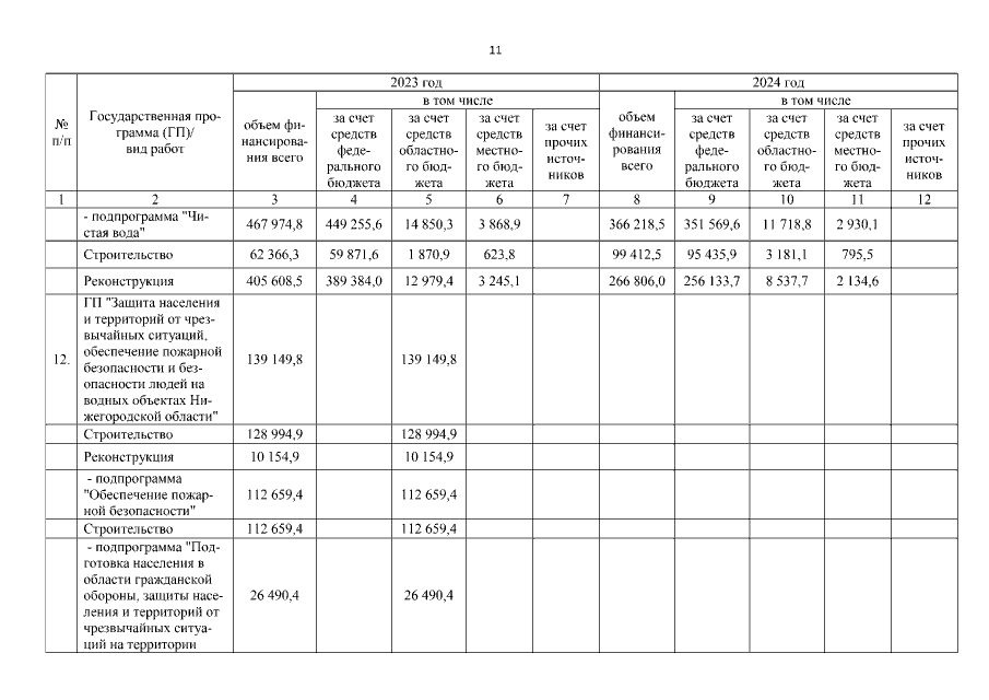
Постановление Правительства Нижегородской области от 29.12.2022 № 1146 "О внесении изменений в Адресную инвестиционную программу Нижегородской области на 2022–2024 годы, утвержденную постановлением Правительства Нижегородской области от 22 декабря 2021 г. № 1210"
Номер опубликования: 5200202212300016
Дата опубликования: 30.12.2022
Страница №29 из 638:
Увеличить