Официальное опубликование правовых актов
ОФИЦИАЛЬНОЕ ОПУБЛИКОВАНИЕ
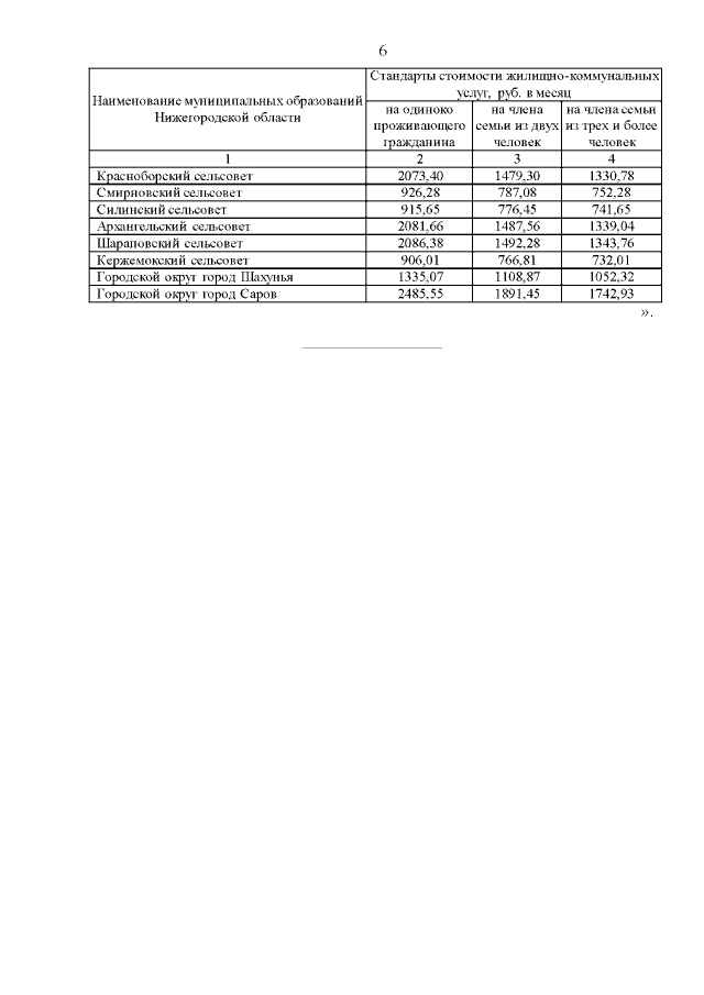
Постановление Правительства Нижегородской области от 29.12.2022 № 1151 "О внесении изменений в постановление Правительства Нижегородской области от 17 августа 2022 г. № 632"
Номер опубликования: 5200202212300006
Дата опубликования: 30.12.2022
Страница №19 из 19:
Увеличить