Официальное опубликование правовых актов
ОФИЦИАЛЬНОЕ ОПУБЛИКОВАНИЕ
Постановление Правительства Нижегородской области от 29.12.2022 № 1143
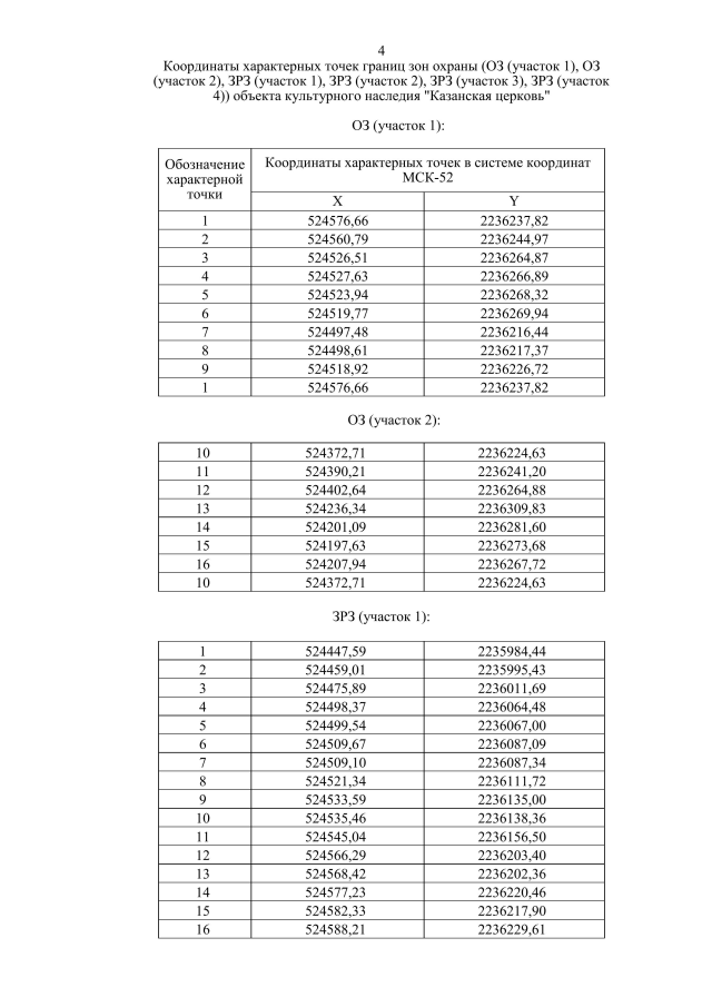
"Об установлении зон охраны объекта культурного наследия регионального значения "Казанская церковь" (Нижегородская область, городской округ город Бор, деревня Рожново (Редькинский с/с) дом 11Б; адрес в едином государственном реестре объектов культурного наследия (памятников истории и культуры) народов Российской Федерации: Нижегородская область, Борский район, с. Рожново) и утверждении требований к градостроительным регламентам в границах территорий данных зон"
Номер опубликования: 5200202212290003
Дата опубликования: 29.12.2022
Страница №6 из 12:
Увеличить