Официальное опубликование правовых актов
ОФИЦИАЛЬНОЕ ОПУБЛИКОВАНИЕ
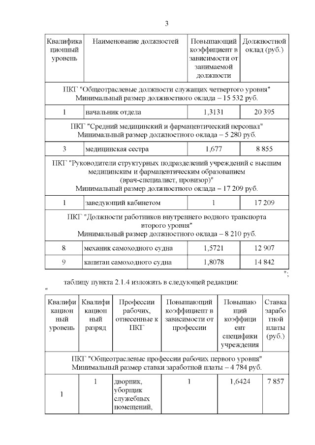
Постановление Правительства Нижегородской области от 24.11.2022 № 966
"О внесении изменений в Примерное положение об оплате труда работников государственного бюджетного учреждения Нижегородской области по виду экономической деятельности ”Деятельность прочего сухопутного пассажирского транспорта" (код 49.3), утвержденное постановлением Правительства Нижегородской области от 26 августа 2011 г. № 662"
Номер опубликования: 5200202211250003
Дата опубликования: 25.11.2022
Страница №3 из 5:
Увеличить