Официальное опубликование правовых актов
ОФИЦИАЛЬНОЕ ОПУБЛИКОВАНИЕ
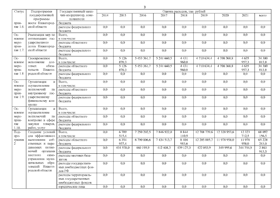
Постановление Правительства Нижегородской области от 04.02.2019 № 49
"О внесении изменений в постановление Правительства Нижегородской области от 30 апреля 2014 г. № 296"
Номер опубликования: 5200201902060002
Дата опубликования: 06.02.2019
Страница №54 из 61:
Увеличить