Официальное опубликование правовых актов
ОФИЦИАЛЬНОЕ ОПУБЛИКОВАНИЕ
Постановление Правительства Нижегородской области от 31.01.2019 № 44
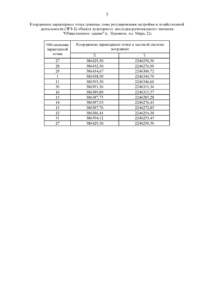
"Об установлении зон охраны объектов культурного наследия регионального значения, расположенных в г. Лукоянове, и утверждении требований к градостроительным регламентам в границах данных зон"
Номер опубликования: 5200201902010007
Дата опубликования: 01.02.2019
Страница №7 из 20:
Увеличить