Официальное опубликование правовых актов
ОФИЦИАЛЬНОЕ ОПУБЛИКОВАНИЕ
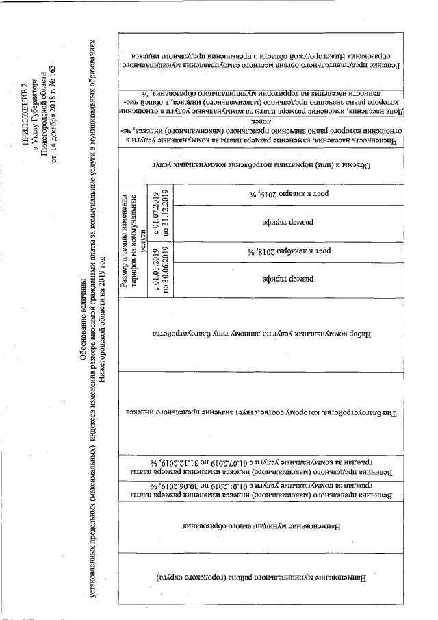
Указ Губернатора Нижегородской области от 14.12.2018 № 163
"Об утверждении предельных (максимальных) индексов изменения размера вносимой гражданами платы за коммунальные услуги в муниципальных образованиях Нижегородской области на 2019-2023 годы"
Номер опубликования: 5200201812210007
Дата опубликования: 21.12.2018
Страница №14 из 95:
Увеличить