Официальное опубликование правовых актов
ОФИЦИАЛЬНОЕ ОПУБЛИКОВАНИЕ
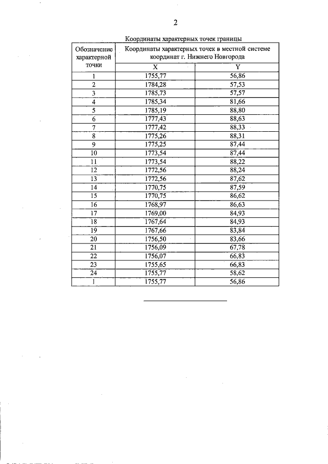
Постановление Правительства Нижегородской области от 29.11.2018 № 819
"Об утверждении границы охранной зоны объекта культурного наследия регионального значения "Дом, в котором жил писатель Чириков Евгений Николаевич" на ул. Гоголя, 19 (литеры А, А1) в г. Нижнем Новгороде, особого режима использования земель и требований к градостроительным регламентам в утвержденной границе"
Номер опубликования: 5200201812040001
Дата опубликования: 04.12.2018
Страница №4 из 6:
Увеличить