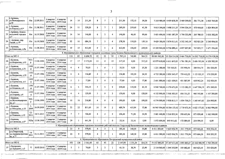
Официальное опубликование правовых актов
ОФИЦИАЛЬНОЕ ОПУБЛИКОВАНИЕ
Постановление Правительства Нижегородской области от 14.09.2018 № 645
"О внесении изменений в постановление Правительства Нижегородской области от 19 июня 2013 г. № 383"
Номер опубликования: 5200201809170013
Дата опубликования: 17.09.2018
Страница №10 из 178:
Увеличить