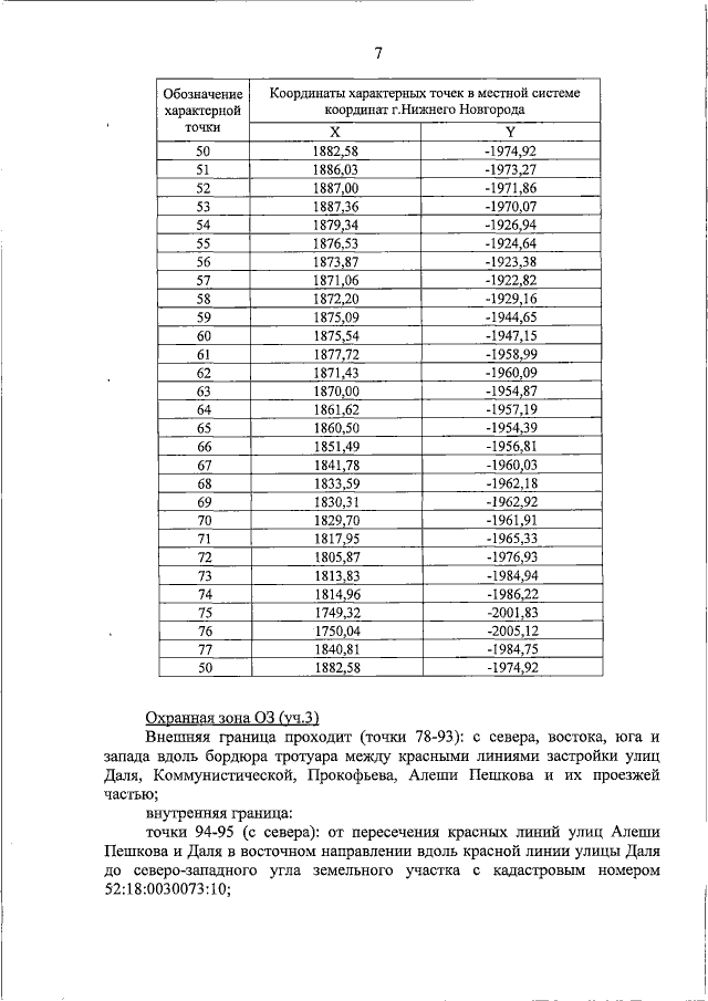
Постановление Правительства Нижегородской области от 28.08.2018 № 622
"Об утверждении границ зон охраны объекта культурного наследия регионального значения "Здание Слободского Канавинского училища, в котором учился Алексей Максимович Горький" на ул. Коммунистическая, 27 (литер А) в г. Нижнем Новгороде, особых режимов использования земель и требований к градостроительным регламентам в утвержденных границах"
"Об утверждении границ зон охраны объекта культурного наследия регионального значения "Здание Слободского Канавинского училища, в котором учился Алексей Максимович Горький" на ул. Коммунистическая, 27 (литер А) в г. Нижнем Новгороде, особых режимов использования земель и требований к градостроительным регламентам в утвержденных границах"
Номер опубликования: 5200201808300001
Дата опубликования:
30.08.2018
