Официальное опубликование правовых актов
ОФИЦИАЛЬНОЕ ОПУБЛИКОВАНИЕ
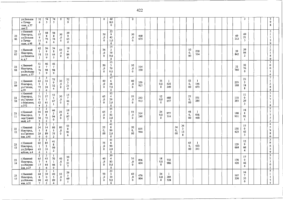
Постановление Правительства Нижегородской области от 27.08.2018 № 615
"О внесении изменений в краткосрочный план реализации региональной программы капитального ремонта общего имущества в многоквартирных домах, расположенных на территории Нижегородской области, на 2017 - 2019 годы, утвержденный постановлением Правительства Нижегородской области от 31 октября 2016 г. № 731"
Номер опубликования: 5200201808280005
Дата опубликования: 28.08.2018
Страница №423 из 458:
Увеличить