Официальное опубликование правовых актов
ОФИЦИАЛЬНОЕ ОПУБЛИКОВАНИЕ
Постановление Правительства Нижегородской области от 20.08.2018 № 592
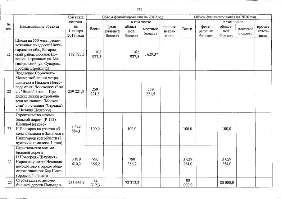
"О внесении изменений в Адресную инвестиционную программу Нижегородской области на 2018 - 2020 годы, утвержденную постановлением Правительства Нижегородской области от 8 ноября 2017 года № 791"
Номер опубликования: 5200201808230002
Дата опубликования: 23.08.2018
Страница №127 из 129:
Увеличить