Официальное опубликование правовых актов
ОФИЦИАЛЬНОЕ ОПУБЛИКОВАНИЕ
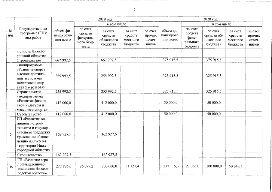
Постановление Правительства Нижегородской области от 20.07.2018 № 540
"О внесении изменений в Адресную инвестиционную программу Нижегородской области на 2018 - 2020 годы, утвержденную постановлением Правительства Нижегородской области от 8 ноября 2017 года № 791"
Номер опубликования: 5200201807240010
Дата опубликования: 24.07.2018
Страница №12 из 81:
Увеличить