Официальное опубликование правовых актов
ОФИЦИАЛЬНОЕ ОПУБЛИКОВАНИЕ
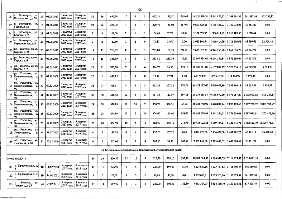
Постановление Правительства Нижегородской области от 15.06.2018 № 448
"О внесении изменений в государственную региональную адресную программу "Переселение граждан из аварийного жилищного фонда на территории Нижегородской области, в том числе с учетом необходимости развития малоэтажного жилищного строительства на 2013 - 2017 годы", утвержденную постановлением Правительства Нижегородской области от 19 июня 2013 года № 383"
Номер опубликования: 5200201806220003
Дата опубликования: 22.06.2018
Страница №68 из 152:
Увеличить