Официальное опубликование правовых актов
ОФИЦИАЛЬНОЕ ОПУБЛИКОВАНИЕ
Постановление Правительства Нижегородской области от 14.06.2018 № 445
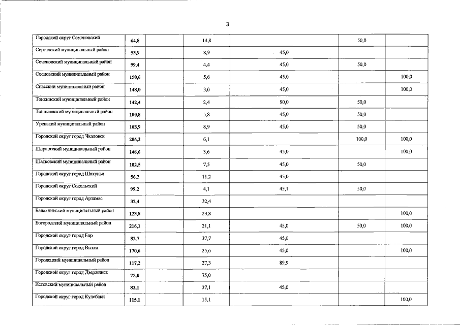
"О порядке предоставления, распределения и расходования субсидий за счет средств областного бюджета и средств, поступивших из федерального бюджета в областной бюджет, бюджетам муниципальных районов и городских округов Нижегородской области на поддержку отрасли культуры"
Номер опубликования: 5200201806180008
Дата опубликования: 18.06.2018
Страница №28 из 34:
Увеличить