Официальное опубликование правовых актов
ОФИЦИАЛЬНОЕ ОПУБЛИКОВАНИЕ
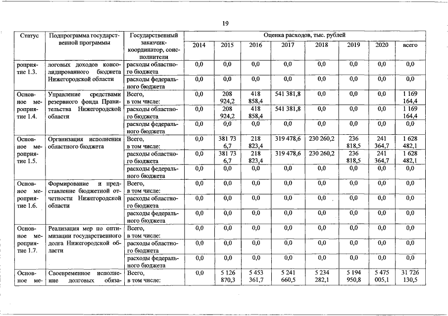
Постановление Правительства Нижегородской области от 16.03.2018 № 177
"О внесении изменений в государственную программу "Управление государственными финансами Нижегородской области", утвержденную постановлением Правительства Нижегородской области от 30 апреля 2014 года № 296"
Номер опубликования: 5200201803190006
Дата опубликования: 19.03.2018
Страница №20 из 30:
Увеличить