Официальное опубликование правовых актов
ОФИЦИАЛЬНОЕ ОПУБЛИКОВАНИЕ
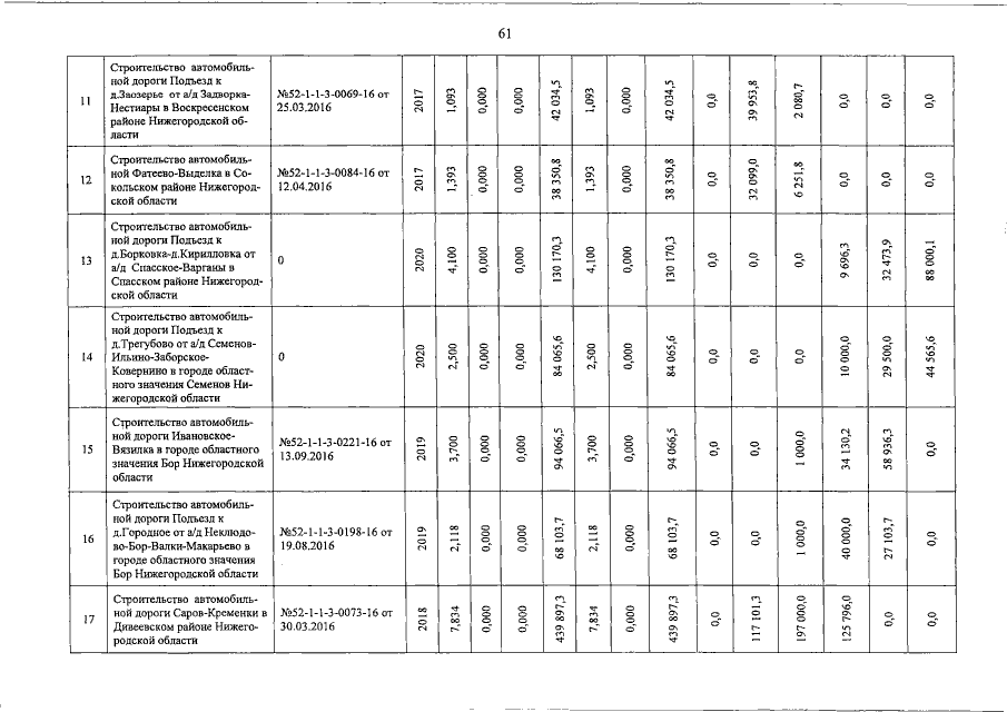
Постановление Правительства Нижегородской области от 22.12.2017 № 934
"О внесении изменений в государственную программу "Развитие транспортной системы Нижегородской области", утвержденную постановлением Правительства Нижегородской области от 30 апреля 2014 года № 303"
Номер опубликования: 5200201712250007
Дата опубликования: 25.12.2017
Страница №62 из 77:
Увеличить