Официальное опубликование правовых актов
ОФИЦИАЛЬНОЕ ОПУБЛИКОВАНИЕ
Постановление Правительства Мурманской области от 28.02.2026 № 101-ПП
"О внесении изменений в Положение о проведении ежегодного областного конкурса "Предприниматель года"
Номер опубликования: 5100202603020002
Дата опубликования: 02.03.2026
Страница №21 из 25:
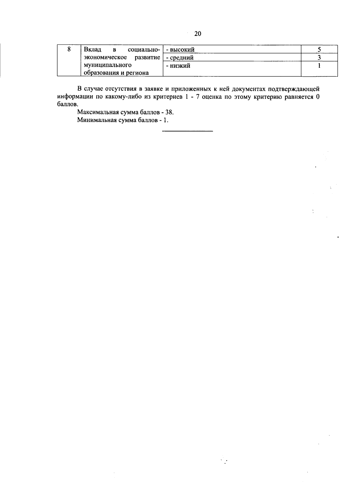
Увеличить