Официальное опубликование правовых актов
ОФИЦИАЛЬНОЕ ОПУБЛИКОВАНИЕ
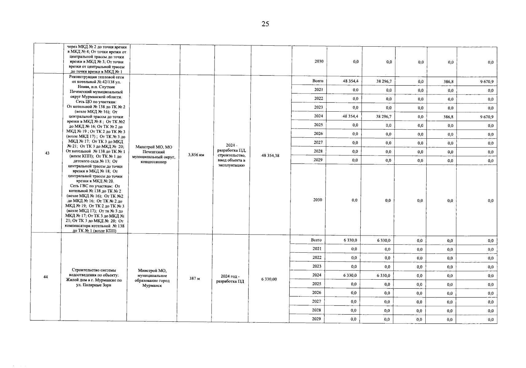
Постановление Правительства Мурманской области от 09.02.2026 № 49-ПП
"О внесении изменений в государственную программу Мурманской области "Комфортное жилье и городская среда"
Номер опубликования: 5100202602090001
Дата опубликования: 09.02.2026
Страница №26 из 36:
Увеличить