Официальное опубликование правовых актов
ОФИЦИАЛЬНОЕ ОПУБЛИКОВАНИЕ
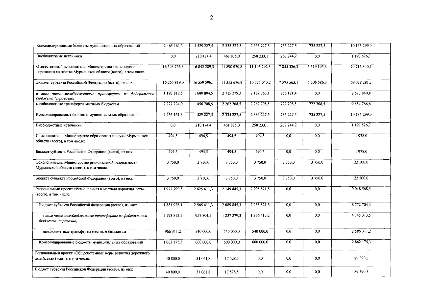
Постановление Правительства Мурманской области от 30.01.2026 № 27-ПП
"О внесении изменений в государственную программу Мурманской области "Транспортная система"
Номер опубликования: 5100202602060009
Дата опубликования: 06.02.2026
Страница №3 из 8:
Увеличить