Официальное опубликование правовых актов
ОФИЦИАЛЬНОЕ ОПУБЛИКОВАНИЕ
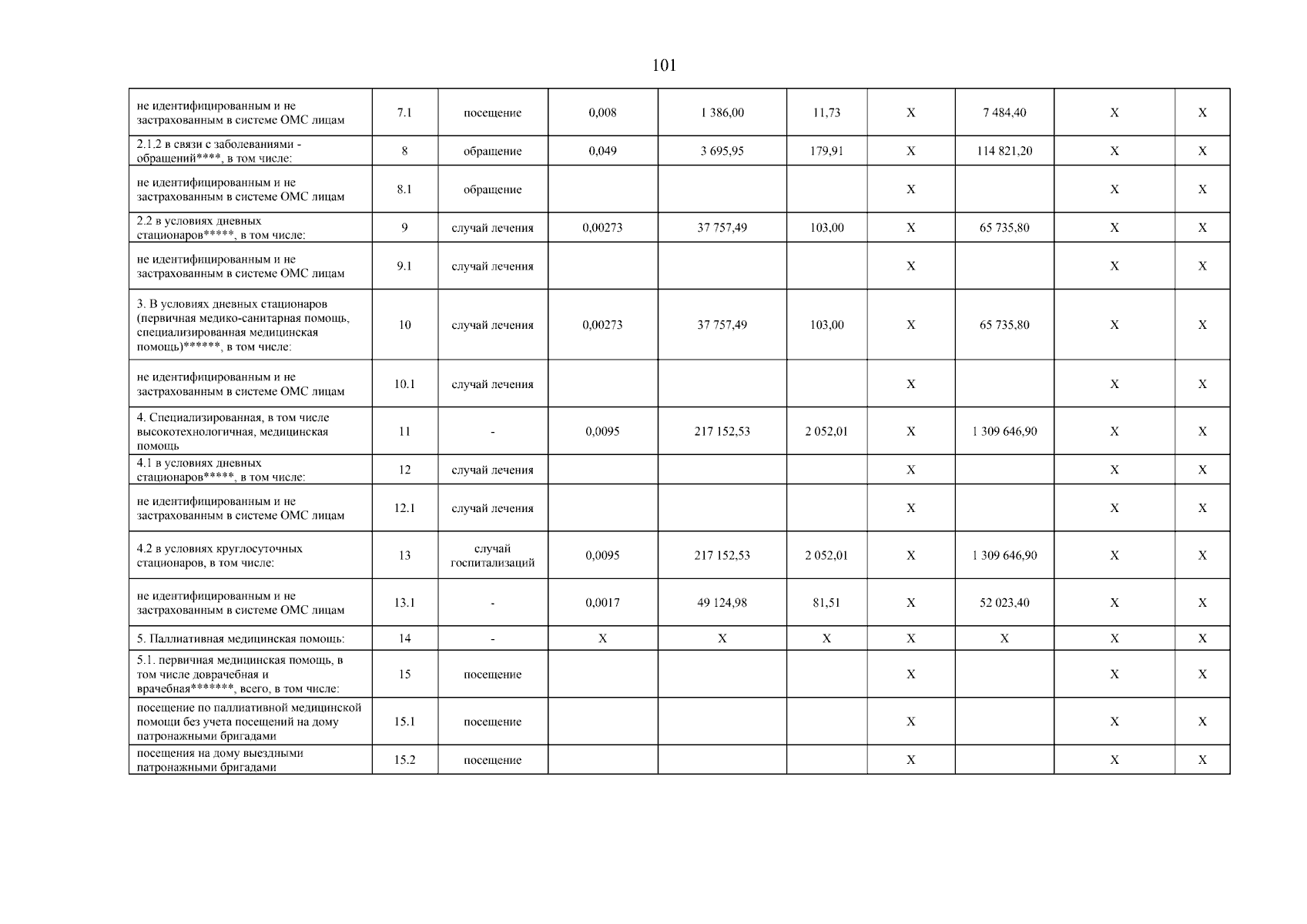
Постановление Правительства Мурманской области от 26.12.2025 № 935-ПП
"О территориальной программе государственных гарантий бесплатного оказания гражданам медицинской помощи в Мурманской области на 2026 год и на плановый период 2027 и 2028 годов"
Номер опубликования: 5100202512280001
Дата опубликования: 28.12.2025
Страница №102 из 265:
Увеличить