Официальное опубликование правовых актов
ОФИЦИАЛЬНОЕ ОПУБЛИКОВАНИЕ
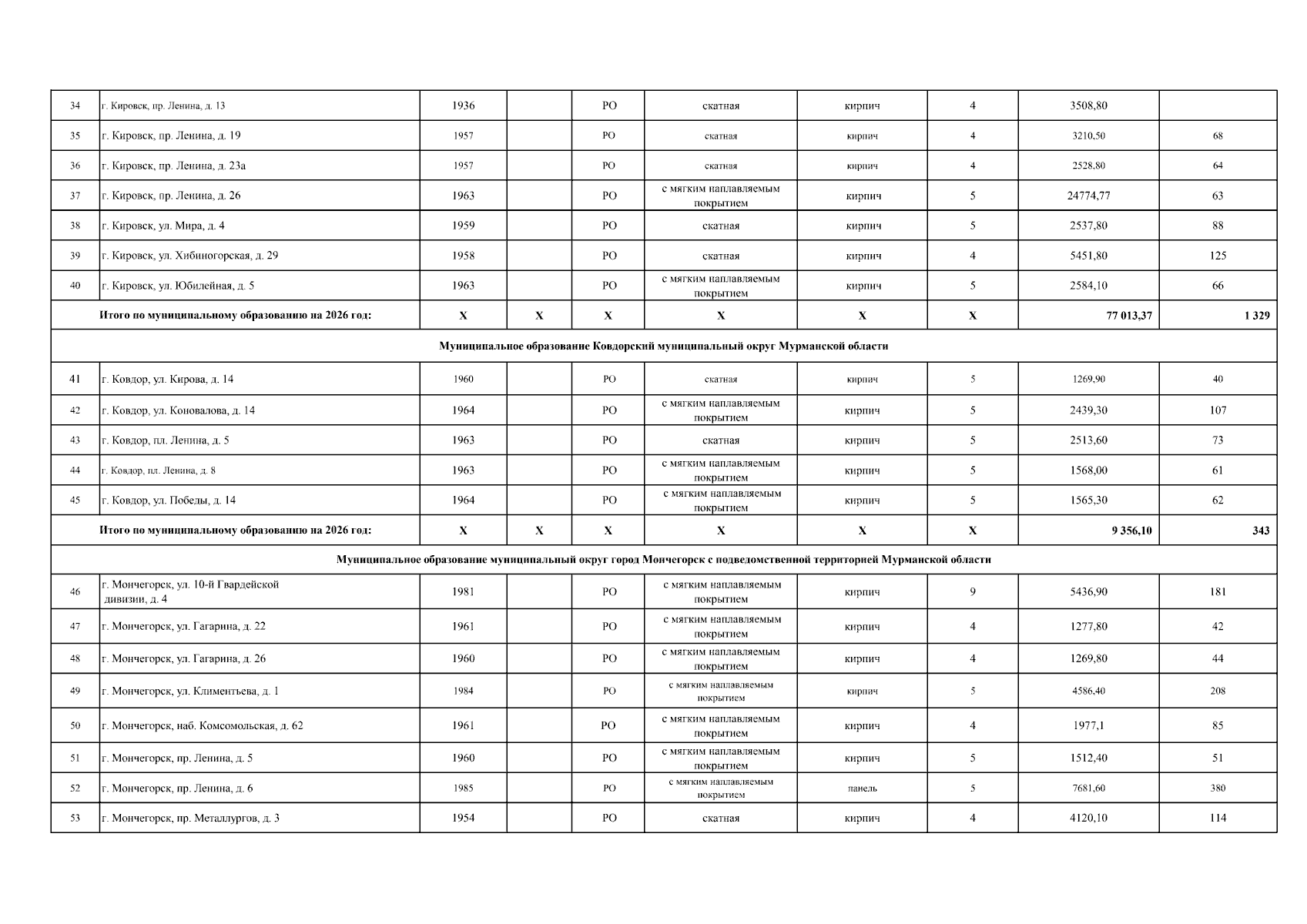
Постановление Правительства Мурманской области от 23.12.2025 № 921-ПП
"О внесении изменений в Краткосрочный план реализации региональной программы капитального ремонта общего имущества в многоквартирных домах, расположенных на территории Мурманской области, на 2026-2028 годы"
Номер опубликования: 5100202512250009
Дата опубликования: 25.12.2025
Страница №4 из 62:
Увеличить