Официальное опубликование правовых актов
ОФИЦИАЛЬНОЕ ОПУБЛИКОВАНИЕ
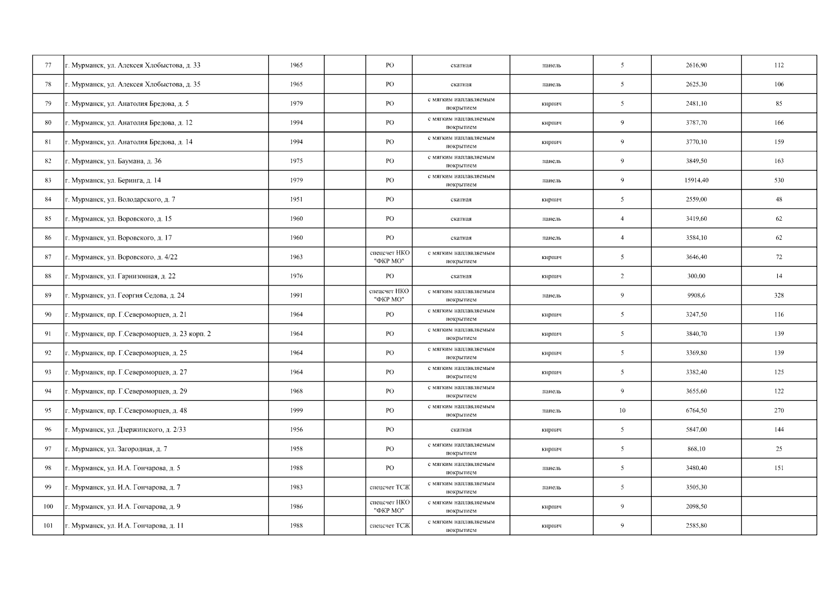
Постановление Правительства Мурманской области от 23.12.2025 № 920-ПП
"О внесении изменений в Краткосрочный план реализации региональной программы капитального ремонта общего имущества в многоквартирных домах, расположенных на территории Мурманской области, на 2023-2025 годы"
Номер опубликования: 5100202512250008
Дата опубликования: 25.12.2025
Страница №22 из 79:
Увеличить