Официальное опубликование правовых актов
ОФИЦИАЛЬНОЕ ОПУБЛИКОВАНИЕ
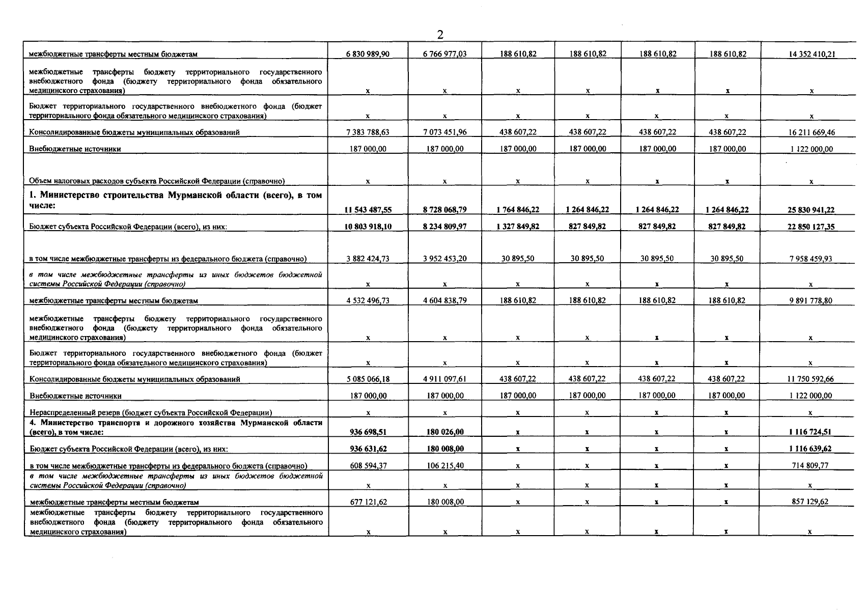
Постановление Правительства Мурманской области от 12.11.2025 № 736-ПП
"О внесении изменений в государственную программу Мурманской области "Комфортное жилье и городская среда"
Номер опубликования: 5100202511140006
Дата опубликования: 14.11.2025
Страница №3 из 6:
Увеличить