Официальное опубликование правовых актов
ОФИЦИАЛЬНОЕ ОПУБЛИКОВАНИЕ
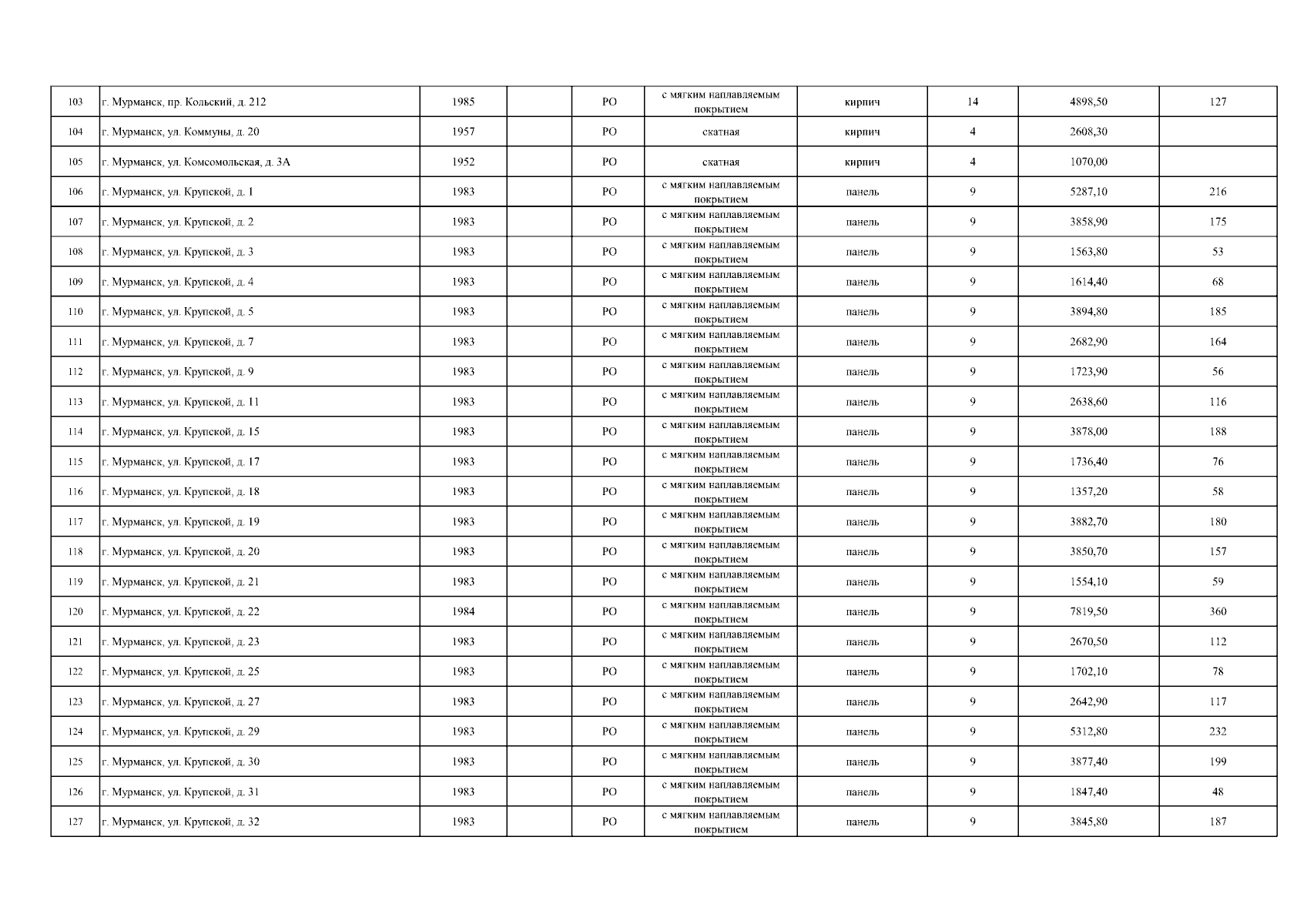
Постановление Правительства Мурманской области от 27.09.2025 № 623-ПП
"О внесении изменений в Краткосрочный план реализации региональной программы капитального ремонта общего имущества в многоквартирных домах, расположенных на территории Мурманской области, на 2026-2028 годы"
Номер опубликования: 5100202509300008
Дата опубликования: 30.09.2025
Страница №7 из 53:
Увеличить