Официальное опубликование правовых актов
ОФИЦИАЛЬНОЕ ОПУБЛИКОВАНИЕ
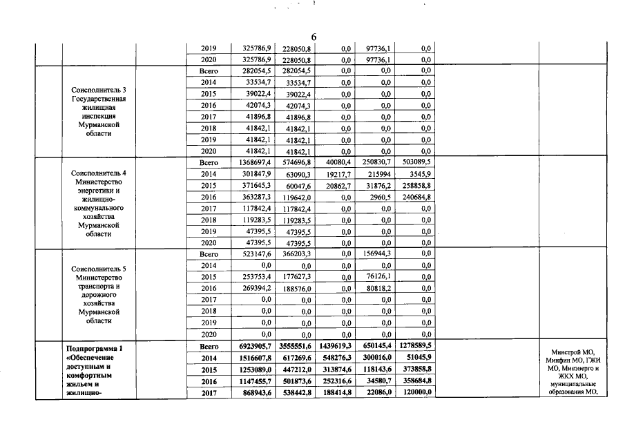
Постановление Правительства Мурманской области от 29.04.2016 № 195-ПП
"О внесении изменений в государственную программу Мурманской области "Обеспечение комфортной среды проживания населения региона"
Номер опубликования: 5100201605050003
Дата опубликования: 05.05.2016
Страница №7 из 26:
Увеличить