Официальное опубликование правовых актов
ОФИЦИАЛЬНОЕ ОПУБЛИКОВАНИЕ
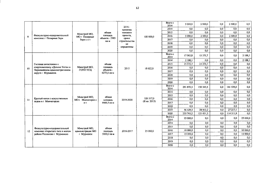
Постановление Правительства Мурманской области от 25.04.2016 № 181-ПП
"О внесении изменений в государственную программу Мурманской области "Развитие физической культуры и спорта"
Номер опубликования: 5100201604290013
Дата опубликования: 29.04.2016
Страница №13 из 20:
Увеличить