Официальное опубликование правовых актов
ОФИЦИАЛЬНОЕ ОПУБЛИКОВАНИЕ
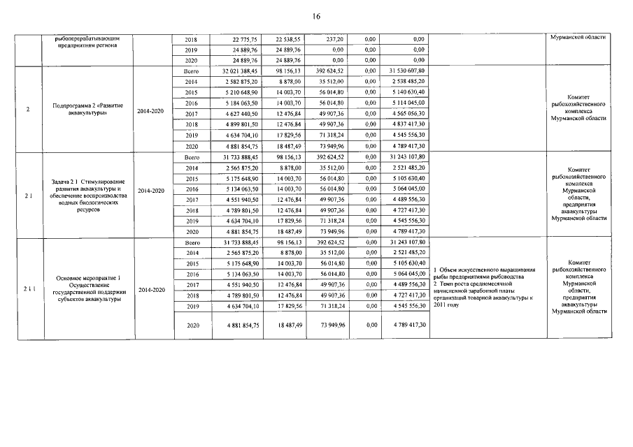
Постановление Правительства Мурманской области от 15.10.2015 № 453-ПП
"О внесении изменений в государственную программу Мурманской области "Развитие рыбохозяйственного комплекса"
Номер опубликования: 5100201510220004
Дата опубликования: 22.10.2015
Страница №18 из 29:
Увеличить