Официальное опубликование правовых актов
ОФИЦИАЛЬНОЕ ОПУБЛИКОВАНИЕ
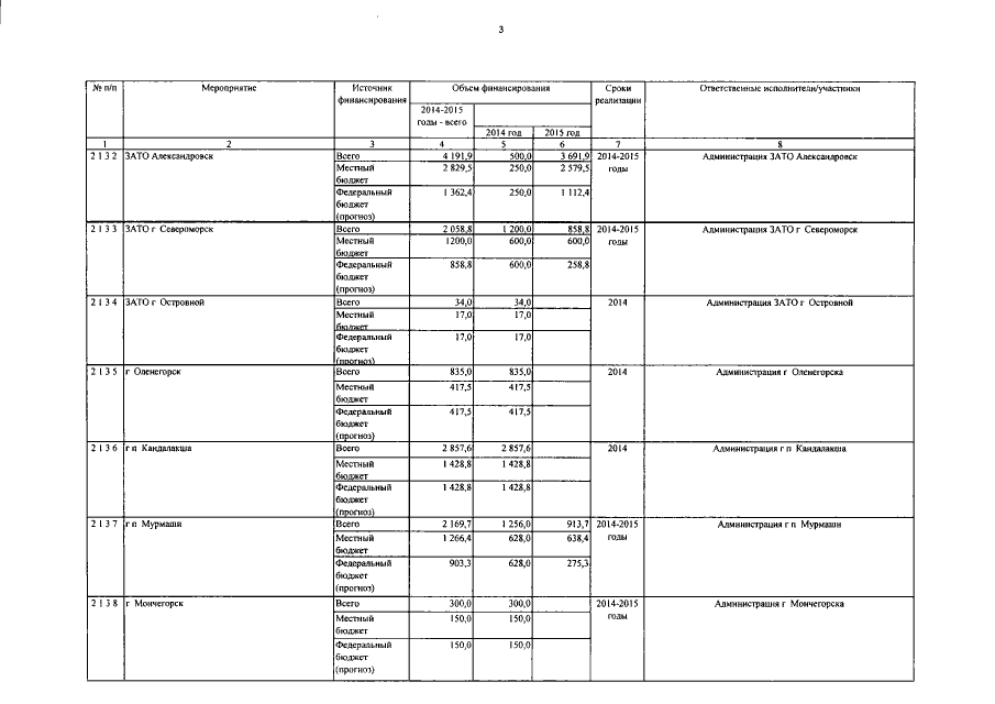
Постановление Правительства Мурманской области от 05.05.2015 № 169-ПП
"О внесении изменений в комплексную программу "Доступная среда в Мурманской области" на 2014-2015 годы"
Номер опубликования: 5100201505070015
Дата опубликования: 07.05.2015
Страница №35 из 47:
Увеличить