Официальное опубликование правовых актов
ОФИЦИАЛЬНОЕ ОПУБЛИКОВАНИЕ
Распоряжение Главного управления Региональной безопасности Московской области от 24.02.2026 № 11-РГУ
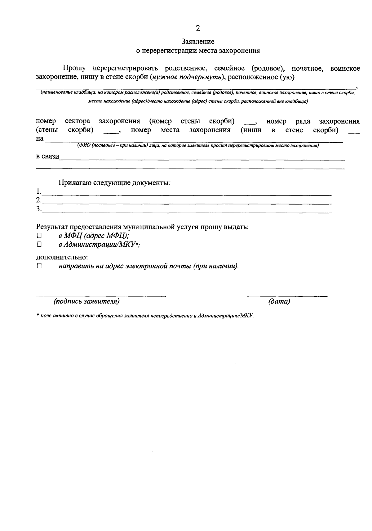
"Об утверждении типового Административного регламента предоставления муниципальной услуги "Предоставление мест для захоронения (подзахоронения), оформление удостоверений о захоронениях, перерегистрация захоронений на других лиц, выдача разрешений на установку (замену) надмогильных сооружений (надгробий), ограждений мест захоронений, извлечение останков (праха) умерших для последующего перезахоронения"
(Зарегистрирован 24.02.2026 № 23-175/2026)
Номер опубликования: 5001202602240005
Дата опубликования: 24.02.2026
Страница №77 из 88:
Увеличить