Официальное опубликование правовых актов
ОФИЦИАЛЬНОЕ ОПУБЛИКОВАНИЕ
Распоряжение Министерства экологии и природопользования Московской области от 20.02.2026 № 184-РМ
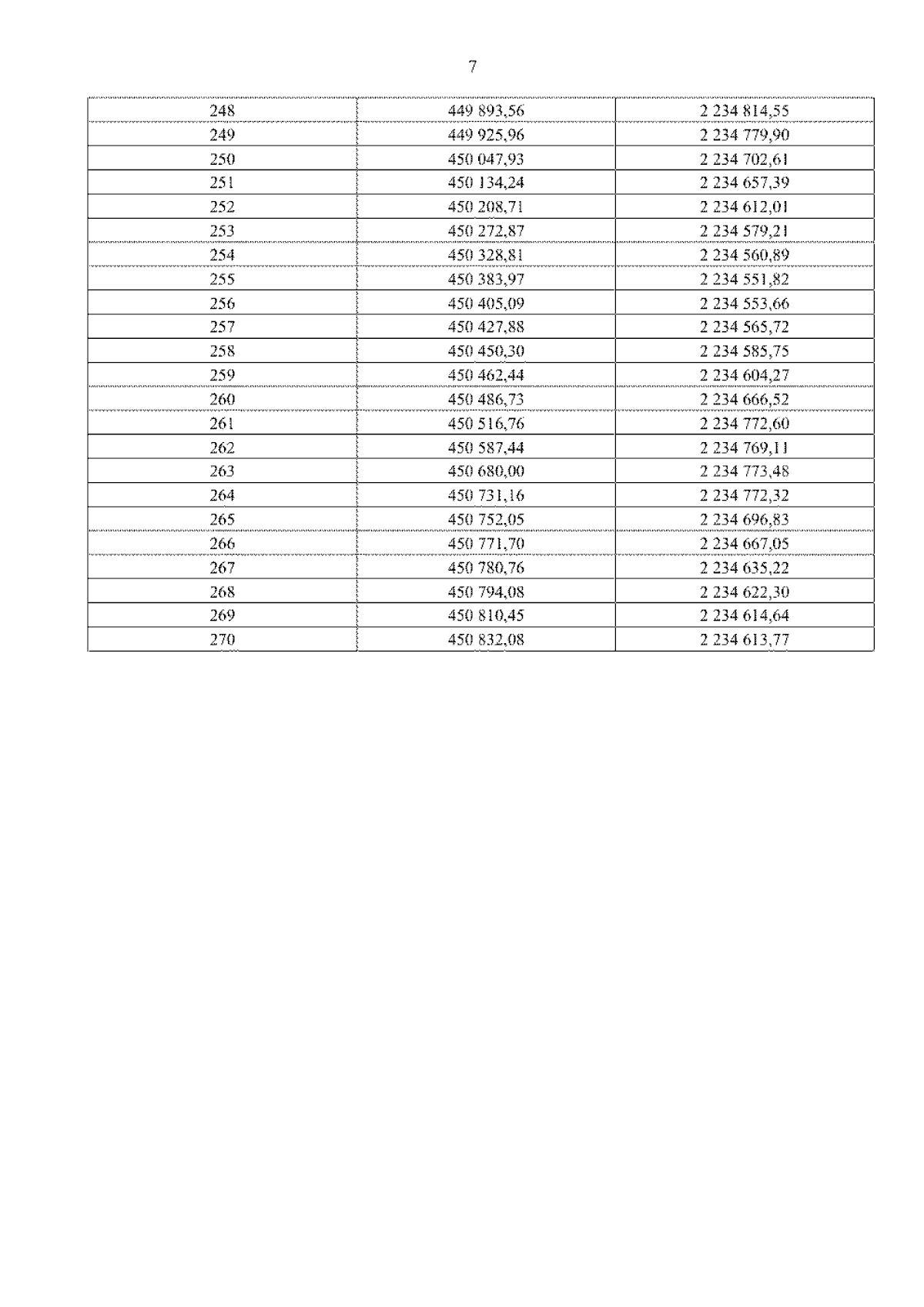
"О внесении изменений в распоряжение и приложения к распоряжению Министерства экологии и природопользования Московской области от 07.03.2023 № 323-РМ "Об определении местоположения береговых линий (границ водного объекта), установлении границ водоохранной зоны, прибрежной защитной полосы реки Дергаевки в Раменском городском округе Московской области"
(Зарегистрирован 20.02.2026 № 15-173/2026)
Номер опубликования: 5001202602240002
Дата опубликования: 24.02.2026
Страница №44 из 51:
Увеличить